******bevictor伟德-bv伟德国际体育官方网站

欢迎来到桂林航天工业学院bevictor伟德!

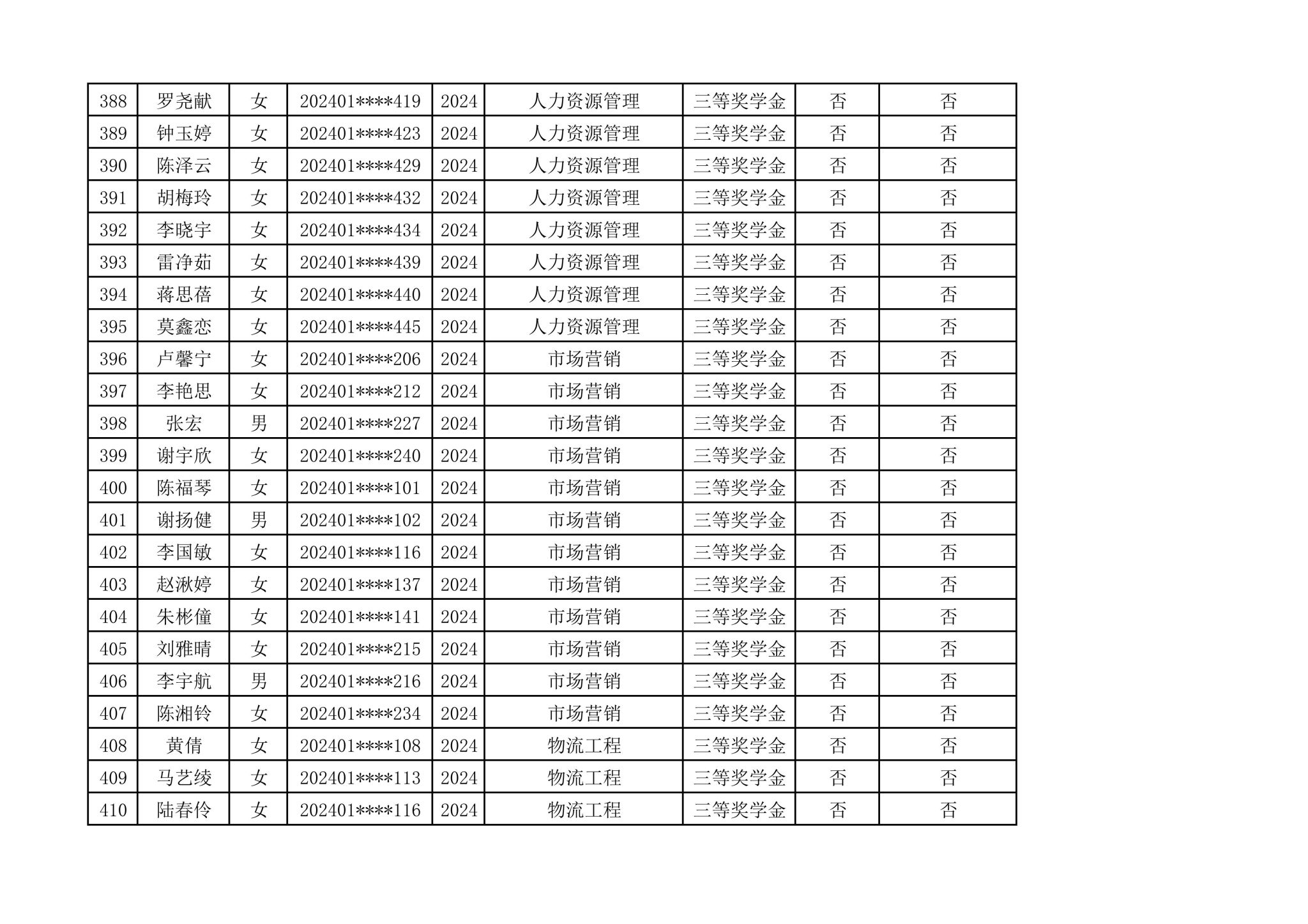
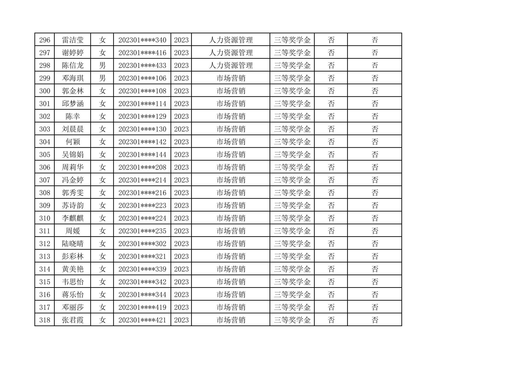
2024-2025年校内学习优秀奖学金bevictor伟德

2025年09月23日 16:38 jln 点击:[]

bevictor伟德

bevictor伟德

bevictor伟德

上一条:2024-2025年先进班集体bevictor伟德拟推荐名单公示 下一条:2024-2025学年bevictor伟德拟推荐参加国家奖学金第一轮评选人选公示

关闭